近日,公司非线性与统计物理团队开展了有关交通污染物排放的研究,研究成果以“具有延缓启动效应的交通颗粒物排放”为题发表在《Physica A: Statistical Mechanics and its Applications》期刊上。
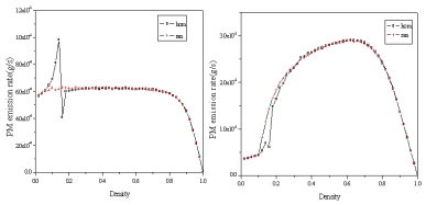
本研究结合经验颗粒物排放模型,研究了周期边界条件和开放边界条件下具有延缓启动效应的两种典型元胞自动机交通模型(VDR和TT模型)的颗粒物(PM2.5)排放。在周期性边界条件下,VDR模型在亚稳态处交通流排放颗粒物最多,减速状态交通流排放颗粒物最多。对于TT模型,排放最多的是处于交通拥堵和减速状态的车辆。在开放边界条件下,得到了反映交通拥堵的相图和流量图。研究表明,出口概率和入口概率对颗粒物排放有较大影响。在相同的出口概率下,颗粒物排放的趋势随着车辆运动状态的不同而变化。对于不同的出口概率,在相同的运动状态下,交通排放的最大颗粒浓度不同。该项研究成果与实际观测交通污染。
图一 VDR 模型


图二 TT模型
该工作获得国家自然科学基金,广西自然科学基金,广西研究生创新项目等资助。
论文作者:乔延峰(硕士生),薛郁(通讯作者),王雪(上海财经大学博士生),岑炳玲(博士生),王艺(硕士生),盘薇(广西医科大学副教授),张妍心(本科生)。
论文链接:https://www.sciencedirect.com/science/article/pii/S0378437121002685