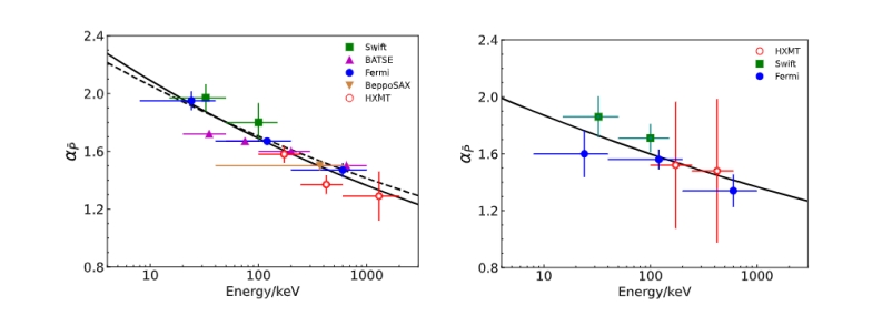
伽玛暴光变的 PDS表征光变信号随不同频率(时标)的分布,是研究伽玛暴的重要方法之一。博士生周子民及其导师王祥高教授利用“慧眼”卫星大面积的优势,首次对短暴进行了详细的功率谱研究,并与长暴的结果进行对比。如图 1 所示,两类伽玛暴的平均功率谱幂律指数分布在1.2-2之间,都比较接近,且随能量的增加有着一致的变化趋势。他们还对每个暴的个体的功率谱进行了分析,分布如图2所示,结果表明两类伽玛暴的个体功率谱也比较接近。功率谱幂率指数、及其随能量变化的相似表明了两类暴的光变来源于相同的随机过程。另外,部分伽玛暴的功率谱呈现出拐折的特征,理论上拐折频率对应了这个伽玛暴的特征脉冲时标 τ 。他们发现,长暴、短暴的 τ 和持续时间T90满足同一个关系τ∝ T90^0.86(如图3所示);功率谱中没有发现超过 3σ 的(准)周期信号。
该工作是公司利用“慧眼”卫星伽玛暴数据进行全面分析的第一个工作,目前已被《The Astrophysical Journal》杂志接收。

图1:长暴(左)和短暴(右)平均功率谱幂律指数随能量的关系
图2:个体功率谱的幂律指数的分布
图3:τ-T_90 关系图。其中红点代表短暴,蓝点代表长暴;空心点代表单脉冲暴,灰色区域是模拟的单脉冲暴分布区域
论文题目:A Comprehensive Analysis of Insight-HXMT Gamma-ray Burst Data: I. Power Density Spectrum
论文作者:周子民(博士生),王祥高(通讯作者),梁恩维,曹加欣,刘慧亚,李承奎,李兵,林达斌,郑天赐,陆睿静,熊少林,王灵俊,宋黎明,张双南(通讯作者)